农作物水足迹可以全面反映农作物生长期的用水类型和数量。目前的研究侧重于量化农作物整个生长期的水足迹,而对不同生长阶段的农作物水足迹研究较少。
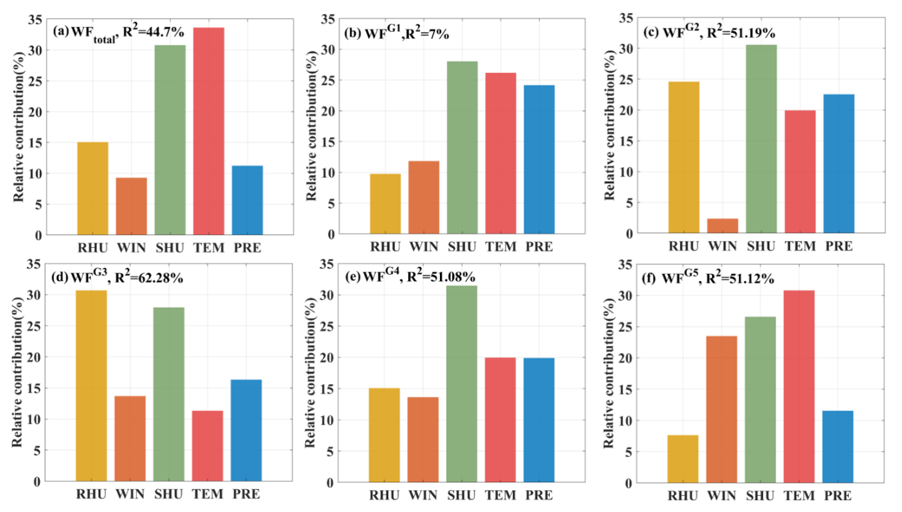
本研究基于CROPWAT模型,利用观测记录的物候、气象和农业数据集,分析了东北地区玉米不同生长阶段水足迹及其相关的气候驱动因素。研究结果表明玉米各生长阶段的水足迹表现出明显的差异,在玉米抽穗-乳熟期的水足迹最高,而在玉米播种-出苗期的水足迹最低。日照时间和气温为玉米水足迹的主要驱动因素,其他气候因素对玉米水足迹的影响在不同生长阶段有所不同。降水对玉米播种-出苗期及出苗-拔节期的水足迹影响较大,而风速对玉米乳熟-成熟期的水足迹变化起主要作用。探究不同生长阶段的气候驱动因子,有助于明确气候因子对农作物水足迹影响的差异,为应对气候变化和提高农作物水分利用效率提供策略。
研究成果以“Water footprint of rain-fed maize in different growth stages and associated climatic driving forces in Northeast China”为题,发表在Agricultural Water Management上。党永财为文章的第一作者,秦丽杰教授为通讯作者。该研究得到了国家自然科学基金的支持。

图1. 东北地区雨养玉米不同生长阶段的水足迹

图2 东北地区玉米总水足迹、绿水足迹、蓝水足迹空间分布及趋势变化

图3. 气候因子对玉米不同生长阶段水足迹的相对重要性
原文链接:https://doi.org/10.1016/j.agwat.2022.107463