干旱对水循环产生间歇性扰动,严重威胁农作物生产和水资源利用。农作物生产水足迹是衡量水资源利用效率和产量变化的重要指标,能够准确反映农作物生长周期中不同类型水资源的消耗。当前研究主要应用确定性方法评估干旱对水足迹的影响。鉴于干旱事件的随机性及其多变量关系的复杂性,引入概率方法,可更精确地量化不同干旱条件下目标水足迹的概率分布,从而分析各干旱等级对水足迹的影响。
本文以东北地区为研究区,选取玉米、水稻和大豆三种主要粮食作物作为研究对象。在整合遥感、统计及气象等多源数据的基础上,结合Copula函数与条件概率方法,量化不同干旱等级引发农作物生产水足迹变化的概率特征,并识别易发生水分亏缺的区域。
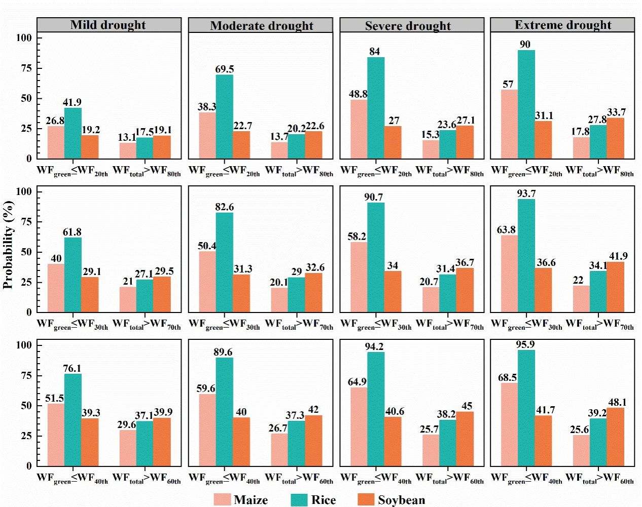
研究结果表明,东北地区不同粮食作物水足迹对干旱的概率响应具有显著差异。对于绿水足迹,随着干旱程度加剧,处于低值的概率显著上升。在极端干旱条件下,玉米、水稻和大豆绿水足迹低于第40百分位的发生概率最大,分别达到68.5%、95.9%和 41.7%。而对于总水足迹,随着干旱加剧,水稻和大豆总水足迹达到高值的概率明显上升,玉米则仅在总水足迹处于极端高值(>80百分位)时发生概率与干旱程度呈正响应。本研究不仅量化了不同干旱等级下农作物水足迹变化的概率特征,也定量分析了灌溉作物与雨养作物对干旱响应的时空差异,可为农业水资源利用效率的精准评估及农业干旱风险预警提供依据。
研究成果以“Water footprint variations in major food crops triggered by different drought scenarios from a probabilistic perspective”为题,发表于《Journal of hydrology》期刊上。我院博士生吕明珠为该论文的第一作者,秦丽杰教授为通讯作者。本研究得到国家自然科学基金项目的支持。
原文链接:
https://doi.org/10.1016/j.jhydrol.2025.134410

图1. 利用 Copula 模型量化干旱对粮食作物水足迹影响概率的流程图

图2. 不同干旱等级下玉米绿水足迹情景的条件概率:轻度干旱(第一列)、中度干旱(第二列)、重度干旱(第三列)和极端干旱(第四列)

图3. 不同干旱程度下东北地区粮食作物绿水足迹低于第20、第30和第40百分位及总水足迹超过第80、第70和第60百分位的平均概率